These notes are from an earlier blog post (here), specifically dealing with transformers used for "Match Detection" at RF
(e.g. measuring transmission-line voltage and current). I recently
needed to refer to these notes and I discovered (to my chagrin) that I'd
forgotten in which post I'd put them. So, to make future searches
easier, I thought I'd also give them their own blog post.
These notes came about because I was wondering why, in some applications (such as a Phase Detector), a transformer's output would have a 90 degree phase shift, but in other applications there would be no phase shift (that is, the phase would be either 0 or 180 degrees, depending upon phase-orientation of the windings, but never 90 degrees). So I sat down and worked out the following...
Notes on Modeling Transformers for RF applications:
A transformer is really just coupled inductors. Let's look at a model of the basic coupled-inductor:
Drawn with these voltage polarities and current directions, the voltage and current relationships are:
In actual use, though, where one coupled inductor is driven and the other attaches to a load, it's more conventional to draw the voltages and currents as follows (note the relationship of the phasing dots):
Note that Zl is the load attached across L2, and I2 is flowing in the opposite direction (now from the positive terminal of L2), compared to the previous drawing.
Because the direction of I2 is reversed, we need to flip the sign of the I2 components in the previous equations, which now become:
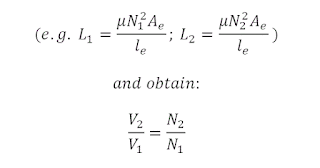
Manipulating these two equations results in the following voltage gain relationship:
We can express this relationship in terms of N1 and N2, the number of turns of each inductance's winding. If the inductors are tightly coupled, they will be on a common core with identical dimensions. We can replace L1 and L2 in the above equation with their inductance equations...
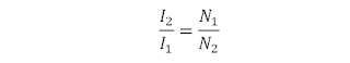
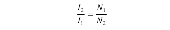
We could also solve the equations for the current-gain. The result is:
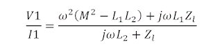
For the purposes of understanding how the current-sense transformer in a Phase Discriminator creates a voltage with a 90 degree phase shift, let's derive the equation for the secondary's voltage in terms of the primary's current:
(The 'j' term in the above equation means that V2 and I1 are 90 degrees out of phase.)
This is an important conclusion. If we assume that the load impedance (Zl) is significantly larger than the reactance of the "secondary's" impedance (jωL2), then the voltage at the secondary of the transformer will be shifted by 90 degrees from the phase of the primary's current!
(By the way, you can see this 90-degree relationship applied in the Bird Wattmeter, here).
On the other hand...
Note that if Zl is resistive and appreciably smaller than the reactance of the secondary's impedance (jωL2), there is no longer a phase shift between primary current and secondary voltage!
Finally, let's determine the impedance seen across the primary winding when a load, Zl, is connected across the secondary:
for tightly coupled inductors, this equation becomes:
and we can simplify it further, with two different conclusions...
The first reduction above is simply the reflection of the load, Zl, (divided by the square of the turns ratio) to be the primary's impedance.
And the last equation signifies that, if there is no load attached to L2, then it's as if L2 isn't there and L1 simply looks like itself, an inductor.
A quick note on multiple secondaries...
If there is a single primary, the current through this primary must equal the sum of the currents in all of the secondary windings, multiplied by their turn ratios. E.g. for a three-secondary transformer:
In the above examples, some of the transformers have had two equal secondary windings ('N' turns-ratio, each) with identical loads across each winding. Therefore the current in each secondary is the same:
And therefore the current in each secondary is:
That's it for this post!
Links to my Directional Coupler blog posts:
Notes on the Bruene Coupler, Part 2
Notes on the Bruene Coupler, Part 1
Notes on HF Directional Couplers
Building an HF Directional Coupler
Notes on the Bird Wattmeter
Notes on the Monimatch
Antenna Auto-tuner Design, Part 5: Directional Coupler Design
Standard Caveat:
As always, I might have made a mistake in my equations, assumptions, drawings, or interpretations. If you see anything you believe to be in error or if anything is confusing, please feel free to contact me or comment below.
And so I should add -- this information is distributed in the hope that it will be useful, but WITHOUT ANY WARRANTY; without even the implied warranty of MERCHANTABILITY or FITNESS FOR A PARTICULAR PURPOSE.
These notes came about because I was wondering why, in some applications (such as a Phase Detector), a transformer's output would have a 90 degree phase shift, but in other applications there would be no phase shift (that is, the phase would be either 0 or 180 degrees, depending upon phase-orientation of the windings, but never 90 degrees). So I sat down and worked out the following...
Notes on Modeling Transformers for RF applications:
A transformer is really just coupled inductors. Let's look at a model of the basic coupled-inductor:
Drawn with these voltage polarities and current directions, the voltage and current relationships are:
V1 = jωL1* I1 + jωM * I2
V2 = jωM * I1 + jωL2 * I2
Where: ω = 2* π * Frequency
In actual use, though, where one coupled inductor is driven and the other attaches to a load, it's more conventional to draw the voltages and currents as follows (note the relationship of the phasing dots):
Note that Zl is the load attached across L2, and I2 is flowing in the opposite direction (now from the positive terminal of L2), compared to the previous drawing.
Because the direction of I2 is reversed, we need to flip the sign of the I2 components in the previous equations, which now become:
Equation 1: V1 = jωL1* I1 - jωM * I2
Equation 2: V2 = jωM * I1 - jωL2 * I2
Manipulating these two equations results in the following voltage gain relationship:
We can express this relationship in terms of N1 and N2, the number of turns of each inductance's winding. If the inductors are tightly coupled, they will be on a common core with identical dimensions. We can replace L1 and L2 in the above equation with their inductance equations...
We could also solve the equations for the current-gain. The result is:
For the purposes of understanding how the current-sense transformer in a Phase Discriminator creates a voltage with a 90 degree phase shift, let's derive the equation for the secondary's voltage in terms of the primary's current:
(The 'j' term in the above equation means that V2 and I1 are 90 degrees out of phase.)
This is an important conclusion. If we assume that the load impedance (Zl) is significantly larger than the reactance of the "secondary's" impedance (jωL2), then the voltage at the secondary of the transformer will be shifted by 90 degrees from the phase of the primary's current!
(By the way, you can see this 90-degree relationship applied in the Bird Wattmeter, here).
On the other hand...
Note that if Zl is resistive and appreciably smaller than the reactance of the secondary's impedance (jωL2), there is no longer a phase shift between primary current and secondary voltage!
Finally, let's determine the impedance seen across the primary winding when a load, Zl, is connected across the secondary:
for tightly coupled inductors, this equation becomes:
and we can simplify it further, with two different conclusions...
The first reduction above is simply the reflection of the load, Zl, (divided by the square of the turns ratio) to be the primary's impedance.
And the last equation signifies that, if there is no load attached to L2, then it's as if L2 isn't there and L1 simply looks like itself, an inductor.
What does this mean?For analysis purposes, Mutually-Coupled Inductors can also be represented by a T-network equivalent circuit. All of the above equations could be derived using this model in lieu of the two coupled inductors:
If the current-sense transformer has a high-impedance load attached to its secondary (so that it creates the 90 degree phase shift), its primary inductance could add phase-shift to the transmission line and thus affect the SWR.
To minimize this unwanted effect, if the reactance of L1 is kept to, say, 5 ohms (1/10th of 50 ohms) at the highest frequency, 30 MHz, then the SWR will only shift from 1:1 to 1.1:1.
But 5 ohms at 30 MHz is an inductance of 26 nH. Very small!!
(Note: 10 ohms of added reactance will shift a 1:1 SWR to 1.2:1, 20 ohms to 1.5:1).
A quick note on multiple secondaries...
If there is a single primary, the current through this primary must equal the sum of the currents in all of the secondary windings, multiplied by their turn ratios. E.g. for a three-secondary transformer:
Ip = Is1*N1 + Is2*N2 + Is3*N3
In the above examples, some of the transformers have had two equal secondary windings ('N' turns-ratio, each) with identical loads across each winding. Therefore the current in each secondary is the same:
Ip = Is1*N1 + Is2*N2 = 2*Is*N
And therefore the current in each secondary is:
Is = Ip/(2N)
That's it for this post!
Links to my Directional Coupler blog posts:
Notes on the Bruene Coupler, Part 2
Notes on the Bruene Coupler, Part 1
Notes on HF Directional Couplers
Building an HF Directional Coupler
Notes on the Bird Wattmeter
Notes on the Monimatch
Antenna Auto-tuner Design, Part 5: Directional Coupler Design
Standard Caveat:
As always, I might have made a mistake in my equations, assumptions, drawings, or interpretations. If you see anything you believe to be in error or if anything is confusing, please feel free to contact me or comment below.
And so I should add -- this information is distributed in the hope that it will be useful, but WITHOUT ANY WARRANTY; without even the implied warranty of MERCHANTABILITY or FITNESS FOR A PARTICULAR PURPOSE.











